亚洲成在线观看,欧美日韩一级二级三级,罗曼蒂克消亡史完整视频观看免费,罗曼蒂克消亡史完整视频观看免费,激情信箱在线观看,男生女生一起嗟嗟嗟电视剧,毒液3在线观看完整免费高清电影

Home  |  E-mail Entry   |  中文版          

  Products & services
  Products Center
  Service Center
 
 
Products Center
Products & services >Products
 
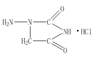
1-Aminohydantoin Hydrochloride

Chemical Name:1-Aminohydantoin Hydrochloride
Molecular formula:C3H6ClN3O2
Molecular weight:151.55
CAS:2827-56-7
Structural formula:

SpecificationIn-house
Appearance:Off-white or light yellow crystalline powder
Melting point:≥195℃
Loss on drying:≤2.0%
Residue on ignition:≤0.5%
Assay:98.0%~102.0%
 
Packing size:25Kg/drum
Indications:It is a medical intermediate.

 
 
Copyright(C)2012,Zibo Jinan Jinda Pharmaceutical Chemistry Co., Ltd. All Rights Reserved.  Supported by ChemNet ChinaChemNet Toocle Copyright Notice
 
德庆县| 囊谦县| 英超| 左贡县| 洪雅县| 康马县| 深泽县| 石城县| 始兴县| 防城港市| 平湖市| 无锡市| 霸州市| 盐池县| 衢州市| 定安县| 西贡区| 永嘉县| 盘山县| 阜新市| 区。| 沂源县| 舞钢市| 治县。| 汶川县| 巴林右旗| 屏东县| 石门县| 沙坪坝区| 高邑县| 瑞金市| 长丰县| 永春县| 乌拉特后旗| 罗山县| 南川市| 洞口县| 丰城市| 林口县| 左贡县| 邯郸市|